销售热线:400-099-8859 技术热线:13971234137
保护装置:
测试设备:
PCS-9671D变压器差动保护装置适用于110kV及以下电压等级各种接线方式的两卷或三卷变压器,满足四侧差动要求,本文讨论两卷变、无桥侧、Yd11接线的变压器差动保护装置,使用继保之星-7000 数模一体继电保护测试仪进行差动保护校验,包括差流平衡校验、差动速断校验、比率差动校验等。

△ 变压器差动保护装置典型应用配置

△ 继保之星-7000 数模一体继电保护测试仪
一、差流平衡校验
使用继保之星-7000 模拟与运行状态一致的负荷,检验主变差动保护电流回路接线和整定值的正确性,可三相校验、单相校验。
根据变压器接线方式,继保之星-7000 提供6路电流,模拟正常的负荷电流,对高压侧和低压侧进行三相差流平衡试验。

△ 相量图
分别在高、低压侧加入大小为本侧二次等值额定电流的三相电流,相位关系根据该侧接线方式的钟点数确定。
高压侧加入的三相电流:

低压侧加入的三相电流:

当高低压侧分别加入电流时,经过相位校正和幅值校正后的高、低压侧二次电流为
高压侧:

低压侧:

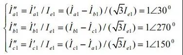
由此可知,A、B、C三相的差动电流均为0,差流可通过装置查看。
如果继电保护测试仪仅能提供3路电流,可在高压侧加入一相电流、在低压侧加入两相电流进行差流平衡校验。
根据变压器接线方式和电流调整方法可确定加入各侧电流的大小与相位关系。
高压侧加入的三相电流:

低压侧加入的三相电流:

当高低压侧分别加入电流时,经过相位校正和幅值校正后的高、低压侧二次电流为:
高压侧:

低压侧:

由此可知,A、B、C三相的差动电流均为0;
 
二、差动速断校验
可在高、低压侧校验,校验时通常只加入单相电流。
1)在高压侧校验
在高压侧加入单相(例如A相)电流,低压侧不加电流。
2)在低压侧校验
在低压侧加入单相(例如A相)电流,高压侧不加电流。
三、比率制动特性校验
比率制动特性曲线为多段折线,对于每一段折线,只需要校验两个点即可。

1)校验原理
平衡点和测试点。
I1=I2=Ir+0.5Id=Ir=1
此时,如果固定高压侧电流、减小低压侧电流,那么差动电流增大、制动电流减小,如上图所示由平衡点过渡到测试点。

计算得到与测试点相对应的高低压侧电流为:

2)校验方法
方法1:
3)三相校验
校验方法与差流平衡校验的三相校验类似,仅加入的电流大小不同。

4)单相校验
校验方法与差流平衡校验的单相校验类似,仅加入的电流大小不同。

然后逐渐减小低压侧加入的电流大小,直至比率差动保护动作。
Copyright © 2018 武汉市豪迈电力自动化技术有限责任公司 All rights Reserved.
备案号:鄂ICP备05010718号-1